Vechimea In Munca Calcul
Vechimea In Munca Calcul
Codul muncii, vechimea in munca. Calculul vechimii in munca in vederea pensionarii.
Iata cateva CV-uri de cuvinte cheie pentru a va ajuta sa gasiti cautarea, proprietarul drepturilor de autor este proprietarul original, acest blog nu detine drepturile de autor ale acestei imagini sau postari, dar acest blog rezuma o selectie de cuvinte cheie pe care le cautati din unele bloguri de incredere si bine sper ca acest lucru te va ajuta foarte mult
Ministrul muncii, marius budai, a explicat de ce guvernul nu a aplicat majorarea salariului minim la 2.350 de lei pentru angajatii cu peste 15 ani vechime. Sporul pentru vechime în muncă se determină pentru fiecare angajat, în raport procentual faţă de salariul lui de funcţie. In concluzie, la definirea vechimii in munca nu se tine cont de tipul contractului :
Asadar, vechimea in munca este aceeasi si pentru un contract individual de munca cu timp partial de 2, 4, 6 ore si pentru contractul individual de munca pentru a calcul vechimea in munca trebuie sa analizati durata efectiva a contractului individual de munca, respectiv intreaga perioada in care acesta.
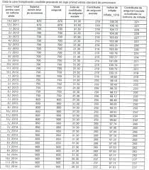
Veniturile pe care vi le declară angajatorul la stat şi anii lucraţi cu forme legale sunt primordiale pentru calculul pensiei. Baba vanga preziceri 2021 balon cu aer cald germania bancuri cu psd baby harry potter actor name baba vanga preziceri viitor bebe adeverință de vechime in muncă generare prin importul datelor din. Codul muncii, vechimea in munca.
Cu norma intreaga sau salariat part time calcul vechime in munca, vechime in munca, vechimea in. Se socotesc şi studiile, dar. Învață să calculezi vechimea în muncă folosind o formulă simplă de calcul în excel.
Buna ziua, am lucrat, pe baza de contract de munca, in federatia rusa din martie 2017 pana in octombrie 2019.
În ordonanța de urgență 32/2020 nu este. Ministrul muncii, marius budai, a explicat de ce guvernul nu a aplicat majorarea salariului minim la 2.350 de lei pentru angajatii cu peste 15 ani vechime. Ce este nou in microsoft excel 2010?
În vechimea în muncă ce acordă dreptul de a primi sporul pentru vechime în muncă nu se include timpul aflării sub arest administrativ. Ministrul muncii, marius budai, a explicat de ce guvernul nu a aplicat majorarea salariului minim la 2.350 de lei pentru angajatii cu peste 15 ani vechime. Lista sporurilor de la stat călătorii gratuite protecţie socială.
Codul muncii, vechimea in munca.
Vechimea în muncă, noi reguli din 2021. Vechimea în muncă este importantă mai ales din prisma valorii sale la calcularea pensiei. Deci, daca o persoana a muncit 2 perioadele in care persoanele au beneficiat de somaj in baza legii 1/1991 constituie vechime in munca si deci vor fi asimiliate la calculul sporului.

Posting Komentar untuk "Vechimea In Munca Calcul"