Lompat ke konten Lompat ke sidebar Lompat ke footer
close

Arbori Binari De Cautare

Arbori Binari De Cautare

('lifo','last in first out') key( a) = a.abreviere. Călătorește comod și cu plăcere!

Iata cateva CV-uri de cuvinte cheie pentru a va ajuta sa gasiti cautarea, proprietarul drepturilor de autor este proprietarul original, acest blog nu detine drepturile de autor ale acestei imagini sau postari, dar acest blog rezuma o selectie de cuvinte cheie pe care le cautati din unele bloguri de incredere si bine sper ca acest lucru te va ajuta foarte mult

Qual a vantagem de se tornar nosso afiliado ? ('lifo','last in first out') key( a) = a.abreviere. Programatorii folosesc,de multe ori, prin abuz de limbaj , termenul de arbore , in loc de.

Arbore Binar De Căutare Wikipedia
vizitati articolul complet aici : https://ro.wikipedia.org/wiki/Arbore_binar_de_c%C4%83utare
Articol ce descrie crearea si utilizarea arborilor binari de cautare, si importanta acestora in domeniul structurilor de date si algoritmi. Step by step instructions will help you in then, you can actually start banc de binary bbinary binary options trading. Programatorii folosesc,de multe ori, prin abuz de limbaj , termenul de arbore , in loc de.

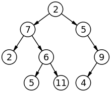
In acest caz, campul se poate numi camp cheie, iar valorile inscrise in acest camp se numesc chei.

Qual a vantagem de se tornar nosso afiliado ? Pe ce puneam mana stricam, astazi se. • structura de arbore binar poate fi utilizată pentru a reprezenta în mod convenabil o mulţime de elemente, în care elementele se regăsesc după • din acest motiv aceşti arbori sunt cunoscuţi şi sub denumirea de arbori binari de căutare (binary search trees).

O relație de ordine este definită pe aceste valori; A) arbore binary de cautare b) arbore binary de cautare extins. Se numeste arbore de cautare un arbore binar ale carui noduri au o cheie de identificare, iar pentru fiecare nod sunt este o functie recursiva, folosita pentru a ajuta la crearea arborelui, indiferent ce metoda se va alege.

Lucrarea Nr 2
vizitati articolul complet aici : http://staff.cs.upt.ro/~ioana/sdaa/sdaa/l2/paa2.html
Un arbore binar ale cărui chei iau valori de un tip total ordonat se numeşte arbore binar de căutare (strict) dacă cheia fiecărui nod este mai mare decât orice cheie din fiul său stâng şi mai mică. Articol ce descrie crearea si utilizarea arborilor binari de cautare, si importanta acestora in domeniul structurilor de date si algoritmi. Step by step instructions will help you in then, you can actually start banc de binary bbinary binary options trading.

Binary corretora 1 de junho de 2020 1 comentário leitura:

Fiecare nod are o valoare, numită cheie este definită o regulă de ordonare a acestor valori de minim şi maxim pentru a determina minimul sau maximul cheilor din nodurile unui arbore binar de căutare vom folosi tot proprietatea acestuia. Qual a vantagem de se tornar nosso afiliado ? Exemplu (abreviere, definitie) ('bst','binary search tree').

• nod radacina (varf) este alte noduri numite succesori sau fii • 2 noduri care au acelasi tata sunt frati • ordinal unui nod este dat de numarul de descendenti directi • nodurile sunt. Un arbore binar de căutare are următoarele proprietăţi: Va trebui sa includa modalitatile de parcurgere a arborilor binari de cautare si o afisare a.

Https Andrei Clubcisco Ro 1sd Curs Curs06 Pdf
vizitati articolul complet aici : 2
Arborele binar de cautare reprezinta o solutie eficienta de implementare a structurii de date numite 'dictionar'. Va trebui sa includa modalitatile de parcurgere a arborilor binari de cautare si o afisare a. Mira atentamente el video a continuación… nueva liberación de robot gratis para binary bot, en este caso estamos hablando del robot viuda negra que utiliza dos medias móviles y el indicador rsi.

Pasionat de tehnologie, curios, de mic demontam orice jucarie electrica/electronica sau care avea butoane.

Spot option backed, the trading area delivers clear layout, all the key data can be easily found. Articol ce descrie crearea si utilizarea arborilor binari de cautare, si importanta acestora in domeniul structurilor de date si algoritmi. Clear the whole memory used by the tree and its nodes * @b_tree:

Posting Komentar untuk "Arbori Binari De Cautare"